Product outline
Also, considering global environment, those products are Pb-free and conforms to RoHS2 Directive.
It is used both as a versatile high-performance tool for R&D and as a built-in component for semiconductor and electric devices.
Please note in advance that there are cases in which we are unable to sell this product due to Regulations for Export Trade Control in Japan.
Applications

Features
This is a single channel amplifier with BNC analog output, NEAR/FAR LED display, and zeroing function, operating with DC 24 V or AC 100 V power supply. This compact and multifunctional device can be used for various purposes such as R&D and integration to system and/or devices.
- A wide variety of product lineup with standard measuring range from 30 μm to 10000 μm.
- The sensitivity of the sensor is not affected as far as target objects are made of conductor material.
- Free from the influence of surface roughness
- High linearity : ±0.05% or less
- Low noise : 0.002%/FS(rms) or less
Examples of custom-ordered probes

We can customize the shape for you! Please feel free to contact us anytime.
Principle of measurement
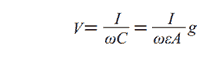
As shown in the figure below, the principle of parallel plate capacitor is applied to the PS sensor. Suppose the electrostatic capacitance between the center electrode and the target is “C”, the inductivity and distance between probe and the target are “ε” and “g,” and center electrode surface area is “A”, then, electrostatic capacitance can be calculated by the following formula:

In addition, by using AC constant current power supply as shown in the figure, the output voltage, calculated by the following formula, will be relative to the gap between sensor and the target object:

To achieve high linearity, parallel electric field is obtained at the center of electrode by equalizing the electric potential level of guard electrode and the center electrode.

Specifications
■ Specification of standard cylindrical probe
To make the sensor probe small, no electric circuit is built into the sensor probe. Special probes can be made to order as well (e.g. sensor probes resistant to vacuum condition).

| Model | △X□□-30 | △X□□-50 | △X□□-100 |
|---|---|---|---|
| Outer diameter |
4 mm | ||
| Target minimum diameter |
4 mm | ||
| Offset | 10 μm | ||
| Range | 30 μm | 50 μm | 100 μm |
| Resolution (PS-IA) |
0.6 nm rms | 1 nm rms | 2 nm rms |
| Linearity | ±0.05% | ||
| Probe length | 5 mm(Custom-order product), 10 mm, 30 mm | ||
| Cable length | 2 m(Standard) | ||
| Model | △Y□□-50 | △Y□□-100 | △Y□□-250 | △Y□□-500 |
|---|---|---|---|---|
| Outer diameter |
6 mm | |||
| Target minimum diameter |
6 mm | |||
| Offset | 10 μm | 25 μm | 50 μm | |
| Range | 50 μm | 100 μm | 250 μm | 500 μm |
| Resolution (PS-IA) |
1 nm rms | 2 nm rms | 5 nm rms | 15 nm rms Specification changed. |
| Linearity | ±0.05% | ±0.1% | ||
| Probe length | 5 mm(Custom-order product), 10 mm, 30 mm | |||
| Cable length | 2 m(Standard) | |||
| Model | △Z□□-500 | △Z□□-1000 | △T□□-3000 | △T□□-5000 |
|---|---|---|---|---|
| Outer diameter |
12 mm | 30 mm | ||
| Target minimum diameter |
11 mm | 28 mm | ||
| Offset | 50 μm | 100 μm | 300 μm | 500 μm |
| Range | 500 μm | 1000 μm | 3000 μm | 5000 μm |
| Resolution (PS-IA) |
10 nm rms | 20 nm rms | 60 nm rms | 120 nm rms Specification changed. |
| Linearity | ±0.05% | ±0.1% | ±0.1% Specification changed. |
±0.3% Specification changed. |
| Probe length | 10 mm, 30 mm | 15 mm, 30 mm | ||
| Cable length | 2 m(Standard) | |||
“△” = cable type, “□□” = probe length (mm)
■ Specification of standard square flange type probe

| Model | FY1506-30 | FY1506-50 | FY1506-100 | FY1506-250 |
|---|---|---|---|---|
| Outer diameter |
5 mm | |||
| Target minimum diameter |
4.4 mm | |||
| Offset | 15 μm | 15 μm | 15 μm | 25 μm |
| Range | 30 μm | 50 μm | 100 μm | 250 μm |
| Resolution (PS-IA) |
0.6 nm rms | 1 nm rms | 2 nm rms | 5 nm rms |
| Linearity | ±0.05% | |||
| Cable length | 2 m(Standard) | |||
| Model | FE1506-100 | FE1506-250 | FE1506-500 | FE1506-750 |
|---|---|---|---|---|
| Outer diameter |
7 mm | |||
| Target minimum diameter |
6.2 mm | |||
| Offset | 20 μm | 25 μm | 50 μm | 75 μm |
| Range | 100 μm | 250 μm | 500 μm | 750 μm |
| Resolution (PS-IA) |
2 nm rms | 5 nm rms | 15 nm rms | 30 nm rms |
| Linearity | ±0.05% | ±0.1% | ||
| Cable length | 2 m(Standard) | |||
| Model | FZ2006-500 | FZ2006-750 | FZ2006-1000 | FZ2006-1500 |
|---|---|---|---|---|
| Outer diameter |
11 mm | |||
| Target minimum diameter |
10.4 mm | |||
| Offset | 50 μm | 75 μm | 100 μm | 150 μm |
| Range | 500 μm | 750 μm | 1000 μm | 1500 μm |
| Resolution (PS-IA) |
10 nm rms | 15 nm rms | 35 nm rms | 60 nm rms |
| Linearity | ±0.05% | ±0.1% | ||
| Cable length | 2 m(Standard) | |||
| Model | FK4006-500 | FK4006-1000 | FN4006-1000 | FN4006-2000 |
|---|---|---|---|---|
| Outer diameter |
15 mm | 19 mm | ||
| Target minimum diameter |
15 mm | 18 mm | ||
| Offset | 50 μm | 100 μm | 100 μm | 200 μm |
| Range | 500 μm | 1000 μm | 1000 μm | 2000 μm |
| Resolution (PS-IA) |
10 nm rms | 20 nm rms | 20 nm rms | 40 nm rms |
| Linearity | ±0.05% | |||
| Cable length | 2 m(Standard) | |||
| Model | FT4006-3000 | FT4006-5000 | FU5006-5000 | FU5006 -10000 |
|---|---|---|---|---|
| Outer diameter |
29 mm | 39 mm | ||
| Target minimum diameter |
28 mm | 38 mm | ||
| Offset | 300 μm | 500 μm | 500 μm | 1000 μm |
| Range | 3000 μm | 5000 μm | 5000 μm | 10000 μm |
| Resolution (PS-IA) |
60 nm rms | 120 nm rms | 100 nm rms | 300 nm rms |
| Linearity | ±0.1% | ±0.3% | ±0.1% | ±1.0% |
| Cable length | 2 m(Standard) | |||
■ Amplifier specifications
The PS-IA is equipped with various features like one-touch zero reset function, NEAR/FAR LED display, and multichannel operability, and it can be used for wide variety of applications.
| Model | PS-IA | PS-IA(B)(Option) |
|---|---|---|
| Standard range of voltage output |
0 to 10 V | -5 to +5 V |
| Output terminal | BNC connector | |
| Frequency characteristic (≧-3 dB) |
DC to 1 kHz | |
| Operating temperature range |
+10 to +40℃ | |
| Operating voltage | AC 100 to 240 V(±10%) (Free power supply 50/60 Hz) DC 24 V 0.5 A (The power cable for the DC power supply is sold separately) |
|
| Dimensions | 110W×30H×162D mm | |
| Weight | 360 g (main body) | |
โปรดทราบว่า มีความเป็นไปได้ของความแตกต่างของสี ในอุปกรณ์ เช่น LEDs, หลอดภาพสี และ LCD เพราะกระบวนการผลิตที่มีจำนวนมาก


